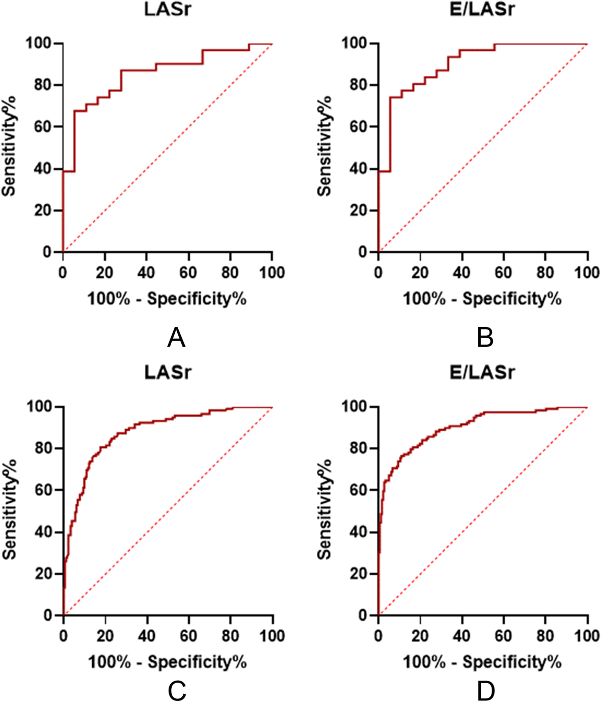
Fig. 1

a: ROC curves of LASr for the prediction of LV filling pressure in the test group; b: ROC curves of E/LASr for the prediction of LV filling pressure in the test group; c: ROC curves of LASr for the prediction of LAP in the validation group; d: ROC curves of E/LASr for the prediction of LAP in the validation group